Retour du Printemps : -30% sur tout le siteLivraison offerte dès 49€ *hors cartes cadeaux

Nutriments

Nutriments

Explorez notre collection de fiches nutriments. Contenus rédigés par nos experts en lithothérapie, minéralogie et bien-être.

208 fiches
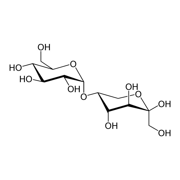
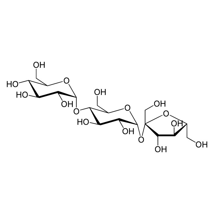
erlose

Erlose

L’erlose figure parmi les glucides indispensables à l’organisme pour assurer le maintien de l’énergie et de la force.…

Découvrir
erythrulose

Érythrulose

L’érythrulose est un composé chimique utilisé dans les produits autobronzants. Réagissant avec les protéines de la peau, il…

Découvrir
fer

Fer

Le fer en tant qu’élément est identifié par le symbole Fe. Il s’agit d’un élément nutritionnel vital qui…

Découvrir
flavonoide

Flavonoïdes

Également appelés bioflavonoïdes, les flavonoïdes sont des métabolites secondaires qui se retrouvent dans des plantes vasculaires. Ils appartiennent…

Découvrir
fluor

Fluor

Le fluor fait partie des constituants des tissus des dents et des os. Il contribue à la solidité…

Découvrir
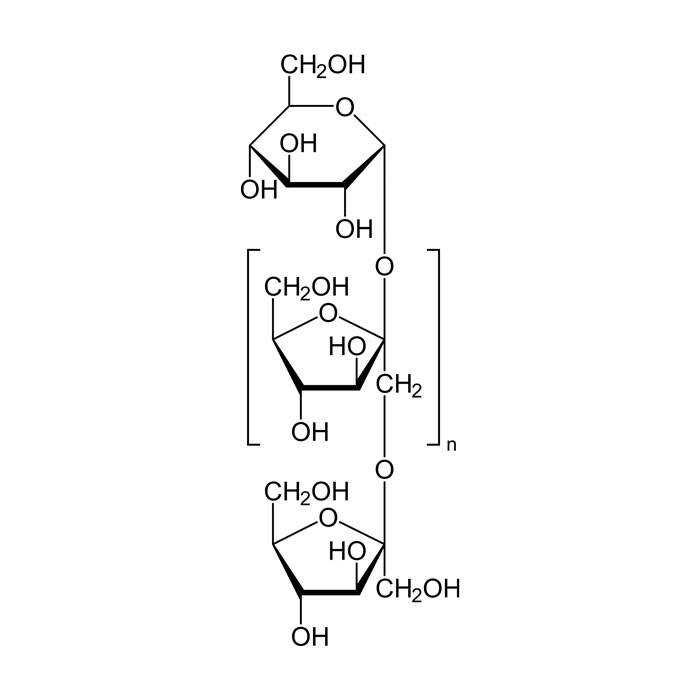
fructane

Fructanes

Les fructanes sont des composés glucidiques présents dans de nombreux aliments. Ils suscitent de plus en plus l’intérêt…

Découvrir
fuculose

Fuculose

L'organisme humain est le siège de plusieurs métabolismes. De nombreux agents participent à la réalisation de tous ces…

Découvrir
furanose

Furanose

Le furanose et le pyranose sont généralement considérés comme étant les deux formes de cyclisation du fructose. Ce…

Découvrir
galactanes

Galactanes

Les galactanes sont des polymères d’oses constitués de monomères de galactose. Ils sont employés dans l'industrie alimentaire pour…

Découvrir
galactose

Galactose

Également appelé « galactopyranose », le galactose est présent naturellement dans le lait, où il se combine au…

Découvrir
gentamicine

Gentamicine

La gentamicine est un antibiotique qui appartient à la famille des aminoglycosides. Connue pour son effet bactéricide, elle…

Découvrir
gentianose

Gentianose

Le gentianose est un triholoside : il s’agit d’un composé chimique constitué de trois résidus de monosaccharides liés…

Découvrir
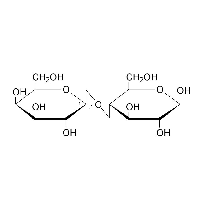
gentiobiose

Gentiobiose

Le gentiobiose est un sucre rarement présent dans l’alimentation quotidienne. Ses caractéristiques particulières restent peu claires à ce…

Découvrir
glucane

Glucanes

De longues études approfondies réalisées sur les glucanes ont permis de mettre en évidence leur importance dans le…

Découvrir
glucide

Glucides

Présents dans la majorité des produits alimentaires actuels, les glucides (ou sucre) sont des nutriments essentiels à l’organisme.…

Découvrir
glucomannane

Glucomannane

Le glucomannane est un composant naturel retrouvé dans les parois cellulaires de diverses espèces végétales. Le seul extrait…

Découvrir
glucose

Glucose

Le glucose fait partie des molécules les plus importantes pour assurer le bon fonctionnement de l’organisme. En effet,…

Découvrir
glutamate

Glutamate

Le glutamate est l’un des nombreux acides aminés utiles à l’organisme. Il est présent dans les protéines issues…

Découvrir
glutamine

Glutamine

La glutamine ou L-glutamine est un acide aminé crucial pour le fonctionnement optimal de l'organisme.  Elle contribue notamment…

Découvrir
glyceraldehyde

Glycéraldéhyde

De formule chimique CH2OH-CHOH-CHO, le glycéraldéhyde est caractérisé par la présence de trois carbones asymétriques dont l'un porte…

Découvrir
glycerides

Glycérides

Les glycérides sont une famille de lipides omniprésents dans l'organisme. Principaux constituant des graisses animales et végétales, ils…

Découvrir
glycine

Glycine

La glycine appartient à la famille des acides aminés dits « non essentiels ». Le corps humain peut la produire…

Découvrir
glycogene

Glycogène

Le glycogène, une macromolécule constituée d’un homopolymère de glucose, se trouve dans le foie et dans les cellules…

Découvrir
glycolipide

Glycolipides

Les glycolipides sont un type particulier de lipide, classifiés parmi les glycoconjugués. Ils se démarquent par la présence…

Découvrir
glycoproteine

Glycoprotéines

Les glycoprotéines sont des macromolécules composées d’une molécule de protéine et d’un ou de plusieurs enchaînements glucidiques.

Découvrir
graminane

Graminane

Le graminane fait partie des nombreux éléments retrouvés dans l’alimentation humaine, en particulier chez les plantes de la…

Découvrir
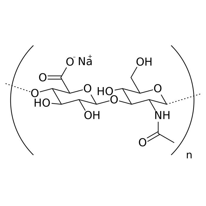
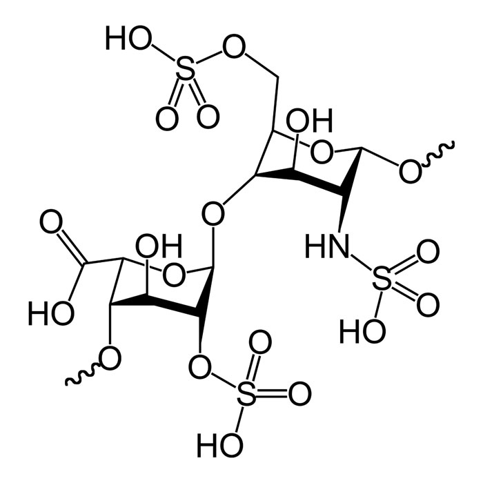
heparine

Héparine

L’héparine est une substance qui est extraite des intestins de porc. Elle est sécrétée par les mastocytes du…

Découvrir
hexoses

Hexoses

Décrits comme des sucres simples contenant six atomes de carbone, les hexoses occupent une place clé dans plusieurs…

Découvrir
histidine

Histidine

La molécule d’histidine se trouve dans tous les aliments riches en protéines. Ce composé chimique, avec sa structure…

Découvrir
inuline

Inuline

L’inuline est un polysaccharide appartenant à la famille des fructanes. Elle est largement présente dans les plantes. Connue…

Découvrir
iode

Iode

Participant dans la synthèse des hormones thyroïdiennes, l’iode est un oligoélément essentiel que l’organisme réclame tout au long…

Découvrir
isoleucine

Isoleucine

L’isoleucine est un acide aminé essentiel qui fait partie des vingt dits « majeurs ». Ceux-ci servent principalement à la…

Découvrir
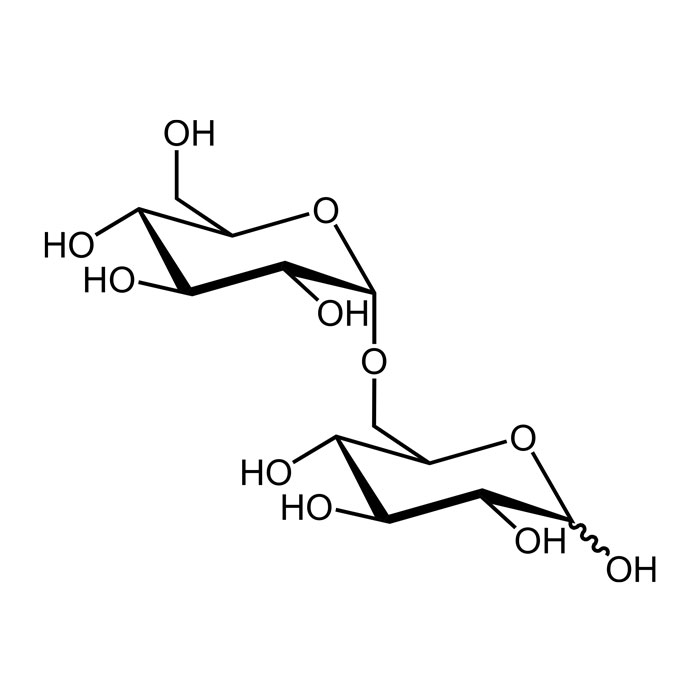
isomaltose

Isomaltose

L’isomaltose est un membre relativement méconnu de la famille des glucides. Il trouve notamment sa place en tant…

Découvrir
isomaltulose

Isomaltulose

L'isomaltulose est un diholoside, ou disaccharide, particulièrement apprécié des sportifs en raison de son apport énergétique optimal pendant…

Découvrir
kanamycine

Kanamycine

Appartenant à la classe des aminoglycosides, la kanamycine occupe une place prépondérante dans le domaine médical. Utilisée en…

Découvrir
kojibiose

Kojibiose

Le kojibiose est catégorisé parmi les sucres rares. Il est présent en grande quantité dans le koji, d’où…

Découvrir
lactose

Lactose

Le lactose est un nutriment essentiel retrouvé dans le lait des mammifères. Ce glucide se trouve dans celui…

Découvrir
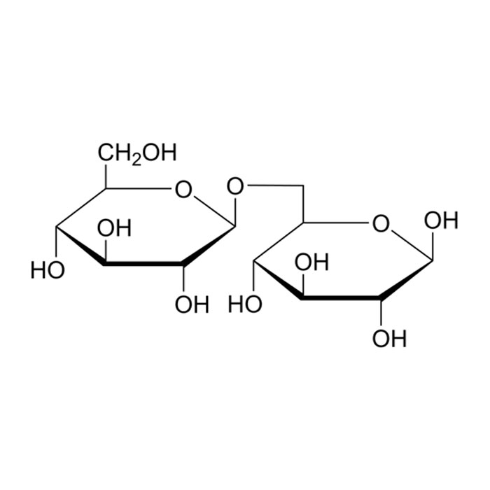
lactulose

Lactulose

Aussi connu sous le nom de galactofructose, le lactulose est un disaccharide composé de galactose et de fructose.…

Découvrir
leucine

Leucine

La leucine est l’un des acides aminés essentiels particulièrement utiles à l’organisme. Ceux-ci sont nommés ainsi, car ils…

Découvrir
levane

Lévane

Le lévane est un genre de fructane spécifique, composé de nombreux fructoses. Il se trouve dans quelques espèces…

Découvrir
lipides

Lipides

Bien que souvent assimilés aux graisses, les triglycérides en particulier, les lipides constituent une famille plus large. Ils…

Découvrir
Votre invitation

Entrez dans l'univers France Minéraux

Conseils en lithothérapie, nouveautés exclusives et code de bienvenue. Rejoignez notre communauté de passionnés.

Vos données restent confidentielles — Désabonnement en 1 clic

4.8/5 Note du magasin sur Google