E100 : Curcumine
La curcumine est employée comme additif alimentaire en raison de sa fonction de colorant. Elle provient de sources…
Découvrir →
La curcumine est employée comme additif alimentaire en raison de sa fonction de colorant. Elle provient de sources…
Découvrir →
L’E101 est un additif alimentaire qui est couramment appelé « vitamine B2 » ou « riboflavine ». Présent…
Découvrir →
La tartrazine est un colorant de synthèse. Ce composé azoïque est largement utilisé, car il est facile à…
Découvrir →
Le jaune de quinoléine est un additif alimentaire référencé sous le code E104. Il s’agit d’un composé organique…
Découvrir →
Les additifs alimentaires qui portent le numéro de code entre 100 et 199 sont des colorants. L’E106 en…
Découvrir →
L'additif E110 est un colorant synthétique largement utilisé dans l'alimentation. Sa principale fonction est de donner une teinte…
Découvrir →
L’E1103, également connu sous le nom d’invertase ou de bêta-fructofuranosidase, est une enzyme appartenant à la famille des…
Découvrir →
L’E1105 – lysozyme est naturellement présent dans le lait et les œufs. Dans l’industrie, notamment fromagère et laitière,…
Découvrir →
Le code E120, pigment anthraquinonique naturel, est un produit dérivé de la cochenille. Cette dernière est un insecte…
Découvrir →
La cochenille désigne un insecte originaire d’Amérique du Sud qui sécrète de l’acide carminique. Celui-ci est utilisé comme…
Découvrir →
Les anthocyanes, également connues comme l’additif alimentaire E163, trouvent leur origine dans les végétaux. Elles font partie de…
Découvrir →
Le code E1201 fait référence à la polyvinylpyrrolidone, aussi appelée povidone, polyvidone ou PVP. Cet additif synthétique est…
Découvrir →
L’E1202 ou polyvinylpolypyrrolidone est un additif alimentaire connu aussi sous le nom de « crospovidone ». Il s’agit d’un composé…
Découvrir →
L’E1203 est un additif alimentaire aussi connu sous les noms d’alcool polyvinylique ou « PVAL ». Ce polymère est obtenu…
Découvrir →
Le Codex Alimentarius autorise l’utilisation de l’E1204 dans une large gamme d’aliments, bien que celui-ci ne puisse pas…
Découvrir →
L’E1205 est un additif alimentaire synthétique qui figure sur la liste des agents d’enrobage du standard international du…
Découvrir →
L’E122, appelé « azorubine » ou « carmoisine », est un colorant alimentaire synthétique. Il permet de donner une coloration rouge vif…
Découvrir →
L’E123 est un additif alimentaire dont les propriétés colorantes sont prononcées. Pendant longtemps, l’industrie alimentaire s’en servait pour…
Découvrir →
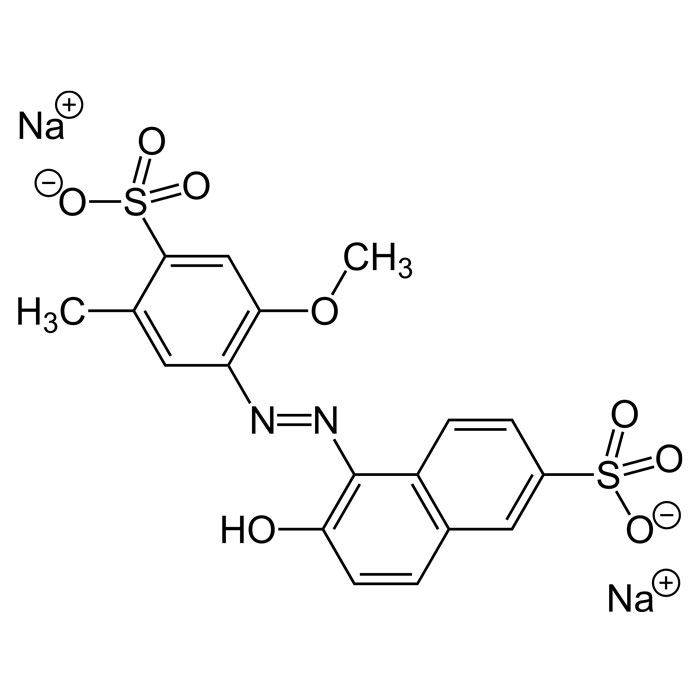
Le code E124 fait référence au ponceau 4R, un colorant largement utilisé dans l'industrie alimentaire. Il est particulièrement…
Découvrir →
L’E127 est un additif alimentaire controversé. Son utilisation est, en effet, sujette à de nombreuses restrictions, quel que…
Découvrir →
L’additif alimentaire désigné par le code E129 est connu sous le nom de « rouge allura AC ».…
Découvrir →
Le E131, connu sous le nom de « bleu patenté V », est un composé chimique dérivé du…
Découvrir →
L’E132 est un colorant synthétique connu sous l’appellation « carmin d’indigo » ou « indigotine ». Il est utilisé dans divers aliments et…
Découvrir →
Tout savoir sur l’E133 Bleu brillant FCF : caractéristiques, compositions, rôles en nutrition, utilisations, risques, réglementations et alternatives…
Découvrir →
L’E140 est un additif alimentaire également connu sous la dénomination de « chlorophylles et chlorophyllines ». Ce colorant d’origine naturelle…
Découvrir →
L’E1404, connu également sous les noms d’« amidon oxydé » ou d’« amidon modifié », est un additif couramment utilisé dans l’industrie…
Découvrir →
E141 est le numéro de code attribué par le Codex Alimentarius aux complexes cuivre-chlorophylle et cuivre- chlorophylline. Ces…
Découvrir →
Dans l’industrie agroalimentaire, E1410 est le code correspondant au phosphate d’amidon, un additif couramment utilisé dans ce secteur.…
Découvrir →
L’E1412 est l’un des amidons modifiés appréciés dans le domaine agroalimentaire pour leurs propriétés gélifiantes, épaississantes et liantes.…
Découvrir →
L’E1413 porte le nom scientifique de « phosphate de diamidon phosphaté ». Il s’agit d’un additif alimentaire couramment…
Découvrir →
L'E1414 est le code attribué par le Codex Alimentarius pour désigner le phosphate de diamidon acétylé. Cet additif…
Découvrir →
L’E142 est un colorant synthétique considéré comme non carcinogène par l’Autorité européenne de sécurité alimentaire (EFSA). Son application
Découvrir →
L’amidon acétylé est un additif fréquemment présent dans de nombreuses recettes culinaires en raison de ses propriétés. Il…
Découvrir →
L’E1422, aussi connu sous le nom d’« adipate de diamidon acétylé », appartient à la famille des amidons modifiés. Cet…
Découvrir →
L'E1440, également connu sous le nom d' « amidon hydroxypropylique », est un additif largement utilisé dans de…
Découvrir →
L’E1442, connu sous le nom de phosphate d’hydroxypropyl-diamidon ou de phosphate de diamidon hydroxypropylique, est un additif alimentaire…
Découvrir →
L’E944, aussi appelé « propane », est un gaz inflammable. Il est employé comme propulseur dans les bombes…
Découvrir →
L’amidon naturel, dit « natif », présente peu d’intérêt pour les industriels. Ces derniers ont ainsi eu recours à sa…
Découvrir →
E1452 est la désignation européenne de l’octénylsuccinate d’aluminium et d’amidon. Il s’agit d’un additif synthétique ajouté dans divers…
Découvrir →
Le code E150 fait référence au colorant caramel. Cet additif alimentaire est reconnaissable par sa coloration qui va…
Découvrir →
L’E1505 fait référence au citrate de triéthyle. Ce composé partiellement d’origine végétale possède une polyvalence très appréciée dans…
Découvrir →
L’E151 est un colorant noir appartenant à la famille des azoïques. Cette substance artificielle pétrochimique est compatible avec…
Découvrir →
L’alcool éthylique, communément appelé « alcool » ou « éthanol », est le composant de base des boissons…
Découvrir →
Répertoriée sous la référence E1517, la diacétate de glycéryle est présente dans les aliments en tant que support…
Découvrir →
L’E1518 est un additif alimentaire connu sous diverses appellations : triacétate de glycéryle, triacétate de glycérole et triacétine. Ce…
Découvrir →
L’E1519 est un additif alimentaire qui fait référence à l’alcool de benzyle. Ce dernier est naturellement présent dans…
Découvrir →
L’E1520 est un liquide épais synthétique, pouvant être intégré à faible dose dans des denrées alimentaires en tant…
Découvrir →
Polyéthylène glycol, PEG-2000, macrogol et E1521 désignent tous le polymère d’éthylène glycol. Il s’agit d’un composé chimique constitué…
Découvrir →
L’E153 ou charbon végétal médicinal est prisé dans plusieurs domaines tels que l’agroalimentaire, les cosmétiques, l’industrie, etc.
Découvrir →
L’E155 est un additif alimentaire connu sous les noms de « brun chocolat HT ». En raison de sa couleur,…
Découvrir →