E283 : Propionate de potassium
L’E283 fait référence au propionate de potassium, également connu sous le nom de « propanoate de potassium ».
Découvrir →
L’E283 fait référence au propionate de potassium, également connu sous le nom de « propanoate de potassium ».
Découvrir →
L’E284 est un additif alimentaire connu sous le nom d’ « acide borique » ou « borofax ». Il est aussi appelé « acide…
Découvrir →
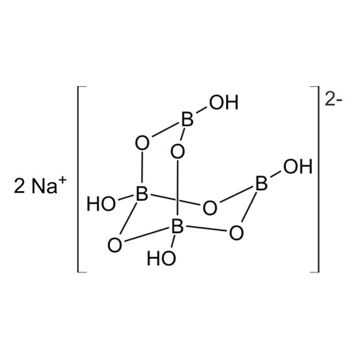
L’E285 est un minerai connu sous les noms de « tétraborate de sodium », « hydroborate de sodium octohydraté », « borate de…
Découvrir →
L’E290 est un agent cryogénique très utilisé dans le domaine de l’agroalimentaire. En effet, il est employé dans…
Découvrir →
L'acide malique, également désigné sous le code E296, constitue un élément récurrent dans de multiples produits alimentaires. En…
Découvrir →
L’E297 est un additif alimentaire également connu sous le nom d’« acide fumarique » ou d’« acide trans-butènedioïque…
Découvrir →
L’E300 sert à améliorer divers produits alimentaires. Il est utilisé dans divers secteurs tels que la boucherie, la…
Découvrir →
L’ascorbate de sodium correspond à une des formes de la vitamine C. Il est couramment employé dans l’industrie…
Découvrir →
L’E302 est une forme alternative de la vitamine C, utilisée en tant qu’additif alimentaire. Il s’agit, entre autres,…
Découvrir →
L’additif E304 est appelé « palmitate d’ascorbyle » ou « esters d’acides gras de l’acide ascorbique ». Les industries alimentaire et cosmétique…
Découvrir →
L’extrait riche en tocophérols est un composé naturel utilisé en tant qu’additif alimentaire. Le Codex Alimentarius lui attribue…
Découvrir →
L’E307 ou tocophérol est communément connu en tant que vitamine E. Ce nutriment essentiel pour l’organisme est doté…
Découvrir →
L’E308 est connu sous le nom de « gamma-tocophérol synthétique ». Son utilisation en tant qu’additif alimentaire et…
Découvrir →
Le delta-tocophérol constitue, avec le gamma, le bêta et l’alpha, les quatre tocophérols. Associés aux tocotriénols, ils forment…
Découvrir →
L’E310, également connu sous le nom de gallate de propyle, est un composé chimique polyvalent. En effet, il…
Découvrir →
Connu sous le nom de « gallate d'octyle », l’E311 est un composé chimique utilisé en tant qu’antioxydant.…
Découvrir →
Le gallate de dodécyle, identifié par le code E312, est un composé chimique reconnu pour sa propriété antioxydante.…
Découvrir →
E315 est le code faisant référence à l’acide érythorbique, également connu sous le nom « acide isoascorbique ». Ce stéréoisomère…
Découvrir →
Le code E316, ou érythorbate de sodium, est un additif largement utilisé dans l'industrie alimentaire, reconnu pour ses…
Découvrir →
L’E319 est connu sous les noms de « tert-butylhydroquinone » et de « butylhydroquinone tertiaire » (TBHQ). Il…
Découvrir →
E320 est l’abréviation de la substance appelée BHA ou butylhydroxyanisol. Il s’agit d’un additif alimentaire synthétique permettant d’éviter…
Découvrir →
L’additif alimentaire E321 ou butylhydroxytoluène (BHT) est un agent de conservation utilisé dans les industries alimentaire et cosmétique.…
Découvrir →
Les lécithines appartiennent à la catégorie des lipides, communément appelés « corps gras ». Elles constituent un des…
Découvrir →
Le lactate de sodium est un additif produit par la fermentation de sources de sucres telles que le…
Découvrir →
Le lactate de potassium est le sel de potassium de l’acide lactique. Dans le secteur de l’industrie agroalimentaire,…
Découvrir →
Le lactate de calcium, également désigné par le code E327, est un sel résultant de la combinaison du…
Découvrir →
L’acide citrique fait partie des additifs utilisés dans les produits alimentaires du quotidien. Sur les étiquettes, il est…
Découvrir →
Le citrate de sodium est le sel trisodique de l'acide citrique. Ayant un goût aigre, il est utilisé…
Découvrir →
L’E332 est connu sous les noms de « citrate de potassium » et de « citrate tripotassique ». Il s’agit d’un additif…
Découvrir →
Le citrate de calcium appartient à la famille des additifs alimentaires. Pour son identification, le Codex Alimentarius lui…
Découvrir →
L’acide tartrique est un additif d’origine végétale. Il est présent naturellement dans les fruits. Il peut aussi être…
Découvrir →
L’E335, également connu sous le nom de tartrate de sodium, est un sel de sodium de l'acide tartrique.…
Découvrir →
L’additif alimentaire E336 est connu sous le nom de « tartrate de potassium ». L’industrie alimentaire s’en sert…
Découvrir →
L’E337 est un sel double de sodium et de potassium appartenant à la famille des tartrates. Ce dérivé…
Découvrir →
L’E338 est un additif alimentaire connu sous les noms d’« acide phosphorique », « acide monophosphorique » et « acide orthophosphorique ».
Découvrir →
Le phosphate de sodium est un composé chimique également appelé « TSP » ou « phosphate trisodique ».…
Découvrir →
Les sels, communément appelés comme tels, bien qu’ayant différents sens en fonction du contexte, regroupent plusieurs types de…
Découvrir →
Comme son nom l’indique, le phosphate de calcium est un composé qui renferme du phosphate et du calcium.…
Découvrir →
E343 ou « phosphates de magnésium » est le nom générique attribué aux sels inorganiques de magnésium et de phosphate.…
Découvrir →
Identifié par le code E350, le malate de sodium est un additif utilisé comme régulateur d'acidité dans l'industrie…
Découvrir →
Également connu sous le code E351, le malate de potassium est un sel de potassium de l’acide malique.…
Découvrir →
L’E352 correspond au malate de calcium, un additif largement utilisé dans l’industrie alimentaire comme stabilisant et régulateur d’acidité.…
Découvrir →
L’E353, également connu sous le nom d’acide métatartrique, est un composé chimique utilisé dans l’industrie alimentaire comme additif.…
Découvrir →
L’additif E354, également connu sous le nom de « tartrate de calcium », est une substance employée dans…
Découvrir →
L’E355 est l’additif alimentaire connu sous les noms d’« acide adipique » ou d’« acide 1,4-hexanedioïque ». Dans l’industrie agroalimentaire, il est…
Découvrir →
L’adipate de sodium est le sel de sodium de l’acide adipique. Il s’agit de l’additif alimentaire qui porte…
Découvrir →
Selon la classe fonctionnelle du Comité mixte FAO/OMS, l’E357 sert de régulateur d’acidité lorsqu’il est ajouté à des…
Découvrir →
Dans le Codex Alimentarius, l'E363 se rapporte à l'acide succinique, également connu sous les noms d' « acide…
Découvrir →
La formation du citrate de triammonium résulte de la combinaison de l'ammonium avec l'acide citrique, naturellement présent dans…
Découvrir →
L’EDTA ou éthylène-diamine-tétra-acétique porte le numéro E385 dans la liste des additifs alimentaires. Il peut être ajouté à…
Découvrir →