E392 : Extrait de romarin
L’extrait de romarin appartient à la famille des additifs alimentaires. Le Codex Alimentarius lui attribue le code E392.
Découvrir →
L’extrait de romarin appartient à la famille des additifs alimentaires. Le Codex Alimentarius lui attribue le code E392.
Découvrir →
L’acide alginique (E400) est parfois appelé « algine » ou « alginate ». Cette dernière appellation désigne aussi…
Découvrir →
La tartrazine est un colorant de synthèse. Ce composé azoïque est largement utilisé, car il est facile à…
Découvrir →
L’alginate de potassium est issu d’algues brunes. Dans le secteur de l’industrie alimentaire, il s’agit d’un additif connu…
Découvrir →
L’E403 est connu sous le nom d’ « alginate d’ammonium » ou de « polymannuronate d'ammonium ». Il s’agit d’un texturant…
Découvrir →
L’additif alimentaire E404, également connu sous le nom d’alginate de calcium, est dérivé d’algues brunes telles que les…
Découvrir →
L’E405 est un additif alimentaire employé comme agent de texture. En effet, il s’agit d’un émulsifiant, d’un stabilisant…
Découvrir →
L’E406 est un agent biologique communément connu sous l’appellation « agar-agar ». Très connu, l'agar-agar en phytothérapie et…
Découvrir →
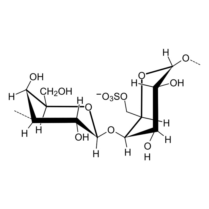
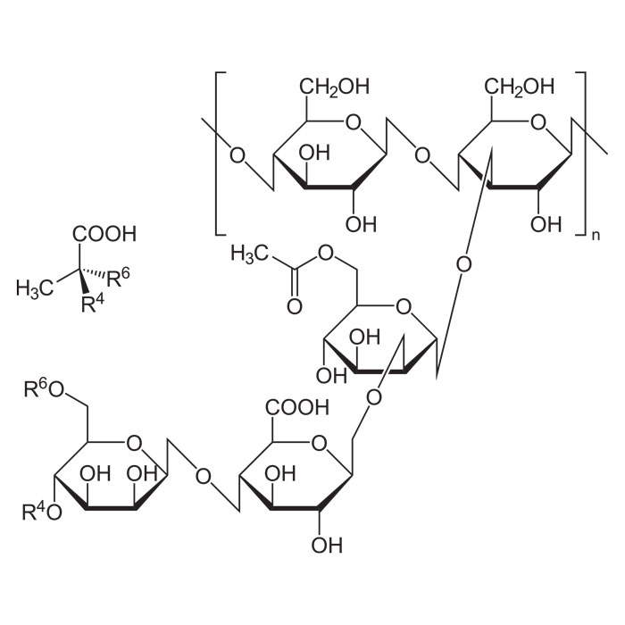
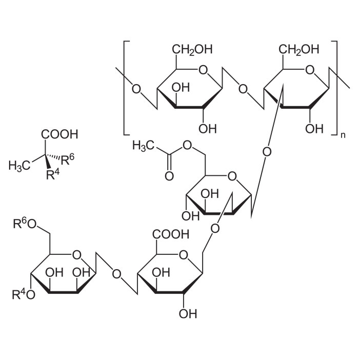
Le carraghénane, également appelé carraghénine, représente des polysaccharides soufrés (galactanes sulfatés) extraits d'algues rouges. Il est utilisé dans…
Découvrir →
La gomme de caroube est un additif végétal obtenu à partir des graines du caroubier. Elle est prisée…
Découvrir →
La gomme de guar est un polyholoside. Le galactomannane qu’il contient est extrait d’une plante annuelle appelée communément…
Découvrir →
La tartrazine est un colorant de synthèse. Ce composé azoïque est largement utilisé, car il est facile à…
Découvrir →
L’E414 figure parmi les additifs les plus utilisés dans le domaine de l’agroalimentaire. En effet, cet élément totalement…
Découvrir →
La gomme xanthane est un additif alimentaire largement exploité dans l’industrie agroalimentaire. Elle est employée pour la fabrication…
Découvrir →
L’E416 est un additif alimentaire également connu sous les noms de « gomme de karaya », « gomme sterculia » ou « gomme…
Découvrir →
La tartrazine est un colorant de synthèse. Ce composé azoïque est largement utilisé, car il est facile à…
Découvrir →
La gomme gellane est un additif alimentaire d’origine microbienne. Son utilisation est courante dans les produits alimentaires, pharmaceutiques…
Découvrir →
Le sorbitol, classé parmi les édulcorants, remplace le saccharose, bien que sa douceur soit deux fois moindre. Il…
Découvrir →
La glycérine est un composé organique bien connu dans l’industrie cosmétique. Elle est aussi exploitée comme hydratant pour…
Découvrir →
Le polysorbate 20 est un émulsifiant efficace connu également comme E432, monolaurate de polyoxyéthylène sorbitane ou Tween 20.…
Découvrir →
Le polysorbate 80 est un émulsifiant, plus précisément l’additif alimentaire connu sous le code E433. Cet excipient peut…
Découvrir →
La pectine est exclusivement d'origine végétale. Elle est abondante dans les pépins et les zestes de certains fruits…
Découvrir →
La pectine amidée est une substance chimiquement modifiée qui appartient à la famille de la pectine. Des résidus…
Découvrir →
L’E445, également connu sous le nom d’ « ester glycérique de résines de bois », est un additif…
Découvrir →
Tout savoir sur l’additif E450 Dypphosphates Pyrophosphates : ses caractéristiques, ses propriétés, sa place en nutrition, ses applications…
Découvrir →
E451 est le code pour les additifs à base de triphosphates. Ces derniers sont des sels dérivés de…
Découvrir →
Les polyphosphates, répertoriés sous le code E452, sont des sels de phosphates couramment utilisés comme additifs alimentaires. Ils…
Découvrir →
Identifiée par le code E460, la cellulose microcristalline est un additif reconnu pour ses propriétés émulsifiante, stabilisante et…
Découvrir →
L'E461, également connu sous le nom de méthylcellulose, se présente comme un additif incontournable dans l'industrie agroalimentaire. Ce…
Découvrir →
Identifiée par le code E462, l’éthylcellulose est un additif utilisé pour améliorer la consistance, la texture ainsi que…
Découvrir →
L’E463 est un additif alimentaire connu sous le nom d’« hydroxypropyl cellulose » ou tout simplement « HPC ». Il est utilisé…
Découvrir →
L'E464, aussi appelé hydroxypropyl méthylcellulose ou hypromellose, est un additif alimentaire. Il est fréquemment utilisé dans les produits…
Découvrir →
L'additif E465, connu sous le nom d'éthylméthylcellulose, est un polymère dérivé de la cellulose. Dans l’industrie alimentaire, il…
Découvrir →
L’additif alimentaire qui se cache sous le code E466 est connu sous le nom de « carboxyméthyl cellulose »,…
Découvrir →
L’E468, communément appelé « carboxyméthylcellulose sodique réticulée », est un polymère dérivé de la cellulose. Agissant comme un…
Découvrir →
L’E469, connu également sous le nom de « carboxyméthylcellulose sodique enzymatiquement hydrolysée », est un additif alimentaire utilisé…
Découvrir →
L’E470 est un additif alimentaire désignant les sels d’acides gras. Ces derniers sont des produits ayant pour base…
Découvrir →
Le E471, également appelé « mono- et diglycérides d’acides gras », est un additif conçu pour améliorer la…
Découvrir →
Agent de texture, l’additif alimentaire E472 a une fonction émulsifiante, stabilisante ou épaississante. Se déclinant en plusieurs dérivés,…
Découvrir →
L’additif E473 est connu sous divers noms : « sucroesters d’acides gras », « esters de saccharose d’acides gras », « esters de sucre »…
Découvrir →
L’additif alimentaire, portant la référence E474, est obtenu à partir du mélange entre l’E471 et l’E473. Il sert…
Découvrir →
Les esters polyglycériques d’acides gras sont un additif alimentaire connu sous le code E475. Il est ajouté dans…
Découvrir →
L’E476 ou polyricinoléate de polyglycérol est un additif alimentaire utilisé en tant qu’agent de texture. Il est employé…
Découvrir →
L’E477 est un additif alimentaire connu sous le nom de « esters de propylène glycol d'acides gras » ou « monostéarate…
Découvrir →
L’huile de soja oxydée constitue un additif alimentaire désigné par le code E479b. Elle tient une place majeure…
Découvrir →
L’E481 est un additif utilisé en tant qu’émulsifiant et stabilisant. Il entre dans l’élaboration de nombreux produits transformés…
Découvrir →
L’E482 fait référence au stéaroyl-2-lactylate de calcium qui appartient à la famille des esters d’acide lactique et d’acide…
Découvrir →
L’E483, communément connu sous le nom de « tartrate de stéaryle », est un ester synthétique produit à…
Découvrir →
Le laurylsulfate de sodium est un tensioactif anionique couramment utilisé dans l’industrie cosmétique. Il est particulièrement apprécié pour…
Découvrir →
Le E491 est un additif fréquemment utilisé dans le domaine de l’alimentation et de l’industrie pharmaceutique. Bien que…
Découvrir →