Acide aminé essentiel
Un acide aminé essentiel est un micronutriment que le corps humain ne peut pas produire par lui-même en…
Découvrir →
Un acide aminé essentiel est un micronutriment que le corps humain ne peut pas produire par lui-même en…
Découvrir →
Environ 280 acides aminés sont recensés actuellement. Ils se déclinent en deux principaux groupes, dont les AA non…
Découvrir →
L’acide gras est l’unité de base des corps gras ou lipides. Il constitue une bonne source d’énergie pour…
Découvrir →
La connaissance des informations sur les acides aminés s’avère primordiale, puisqu’ils jouent un rôle déterminant dans le bon…
Découvrir →
Les acides dicarboxyliques constituent une famille de molécules organiques présentant la particularité de posséder deux groupements carboxyles au…
Découvrir →
Les acides gras sont des composés organiques qui jouent un rôle crucial dans divers processus biologiques.
Découvrir →
En général, les acides gras insaturés possèdent une ou plusieurs doubles liaisons entre les molécules de carbone. Leur…
Découvrir →
Les acides mycoliques sont des molécules grasses susceptibles de nuire à la santé de l’Homme. Leurs traits caractéristiques…
Découvrir →
Les acides nucléiques figurent dans la liste des composés organiques indispensables à la cellule, avec les protéines, les…
Découvrir →
L'acylglycérol, également appelé « glycérolipide » ou « glycéride », représente une catégorie essentielle de lipides. Il se…
Découvrir →
L'alanine ou L-alanine est un acide aminé non essentiel que le corps peut synthétiser par lui-même. Elle est…
Découvrir →
Les alcaloïdes revêtent une importance significative en tant que constituants actifs dans les médicaments, même à l'ère des…
Découvrir →
Un aldohexose est essentiellement un hexose, un sucre simple composé de six atomes de carbone et avec qui,…
Découvrir →
Un aldose est un monosaccharide (autrement dit, un sucre simple) qui possède une particularité : un groupe carbonyle…
Découvrir →
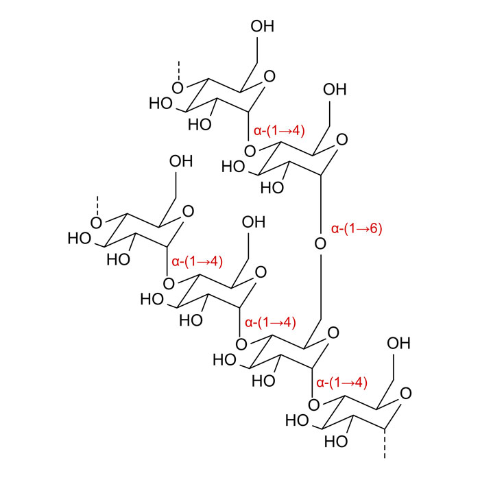
Le mot « amidon » vient du latin amylum ou amulum, et fait référence à son état non…
Découvrir →
La découverte de l’amikacine a révolutionné le monde des antibiotiques. Aujourd’hui, cette substance chimique est une référence dans…
Découvrir →
Les aminosides ou aminoglycosides sont des antibiotiques puissants conçus pour traiter certaines catégories de bactéries. Ils agissent en…
Découvrir →
Présente principalement dans les céréales, les légumineuses et les tubercules, l’amylopectine est un composant important de l’amidon...
Découvrir →
Un anomère est une autre configuration spatiale des oses, montrant une variation géométrique au niveau de certains atomes,…
Découvrir →
L’antioxydant est un composant présent dans les aliments, notamment dans les fruits et les légumes. Il joue un…
Découvrir →
L’apport satisfaisant ou AS est une valeur numérique permettant de définir l’apport en nutriments indispensables pour une population…
Découvrir →
L'apramycine est un antibiotique utilisé en médecine vétérinaire. Appartenant à la famille des aminosides, elle est employée pour…
Découvrir →
L’arabinose figure dans la liste des éléments qui constituent les pectines et l’hémicellulose. Cet aldose monosaccharide de pentose…
Découvrir →
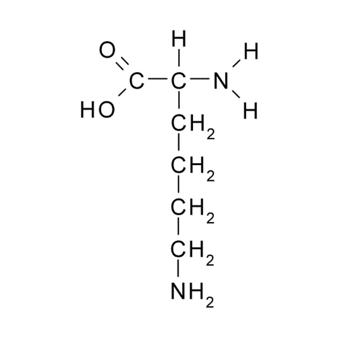
L’arginine est un acide α-aminé connu sous les abréviations « Arg » et « R ». Sa biosynthèse…
Découvrir →
L’asparagine, connue sous les abréviations Asn et N, fait partie des 22 acides aminés protéinogènes. Cette molécule qui compose,…
Découvrir →
Pouvant être synthétisé par l’organisme, l’aspartate est reconnu pour ses rôles biologiques importants. En plus de sa capacité…
Découvrir →
Le calcium occupe une place prépondérante dans le monde naturel et biologique. Au-delà de sa présence dans la…
Découvrir →
Les caroténoïdes sont des pigments organiques présents dans les plantes, les algues et les bactéries. Ils sont responsables…
Découvrir →
Le carraghénane, plus exactement les carraghénanes puisqu’il en existe trois grandes catégories, sont des extraits d’algues rouges...
Découvrir →
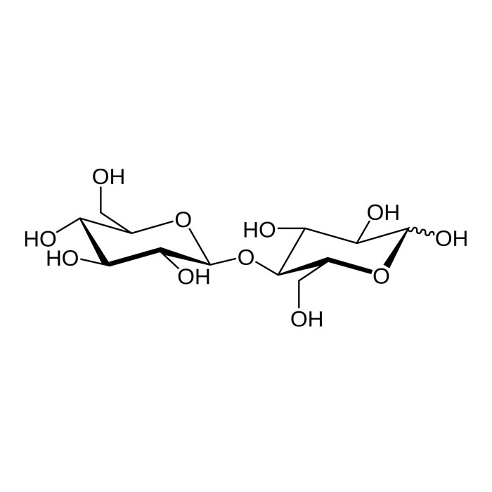
Étant un disaccharide, le cellobiose comporte deux monosaccharides interconnectés. À l’instar de tous les diholosides, sa masse molaire…
Découvrir →
D’origine végétale ou animale, les fibres appartiennent à la famille des glucides complexes. Les fibres solubles regroupent les…
Découvrir →
Le cétohexose est un ose ou un monosaccharide composé de six atomes de carbone, d’où sa catégorisation parmi…
Découvrir →
Un cétose est un monosaccharide (ou sucre simple) caractérisé par un groupe cétone présent dans la chaîne carbonée.…
Découvrir →
La chitine est un polymère naturel. Elle fait partie des composants majoritaires des exosquelettes des crustacés et de…
Découvrir →
Le chlore occupe une place essentielle dans la vie quotidienne de l’Homme. Il est majoritairement présent dans le…
Découvrir →
L’Institute of Medicine reconnaît la choline comme un nutriment essentiel au bon fonctionnement du corps humain. L’organisme peut…
Découvrir →
Le chrome est un élément chimique, dont le numéro atomique est 24. Il est connu en sa qualité…
Découvrir →
Les cofacteurs enzymatiques sont des composés chimiques indispensables dans la réaction catalytique et dans l’activité biologique d’une protéine.
Découvrir →
Les composés phytochimiques sont naturellement présents dans les végétaux. Ainsi, ils sont apportés par les aliments d’origine végétale…
Découvrir →
Le cuivre est un oligoélément crucial pour l’être humain. Il se trouve principalement dans les produits d’origine animale.…
Découvrir →
Le curdlane est un polysaccharide naturel issu de la fermentation bactérienne de sucres tels que le glucose ou…
Découvrir →
Les cyclodextrines sont des molécules-cages dont l’origine est naturelle. Également appelées « cycloamyloses », leur usage est aujourd’hui…
Découvrir →
Le cyclohexane est un composé chimique organique classé parmi les hydrocarbures cycliques. Il résulte du processus de raffinage…
Découvrir →
La cystéine est un acide α-aminé connu sous les abréviations « Cys » et « C ». Son…
Découvrir →
Le désoxyribose, qualifié de 2-désoxyribose par les scientifiques, est un glucide à cinq atomes qui est dérivé du…
Découvrir →
La dextrine est un dérivé de l’amidon contenu dans différents types d’aliments. Elle est souvent utilisée comme additif…
Découvrir →
Les diholosides sont des sucres qui résultent de la condensation de deux oses. Également appelés disaccharides, ces glucides…
Découvrir →
La dihydroxyacétone (DHA) est un monomère de glucide présent dans certains produits capillaires et autobronzants. Elle appartient à…
Découvrir →
Un organisme adulte pesant 70 kg renferme 65 % d’eau, soit environ 45 L. Le besoin en ce…
Découvrir →
Selon les résultats des études enzymologiques réalisées, le nombre d’enzymes présents au sein de l’organisme humain est estimé…
Découvrir →